When changes have been reviewed and approved, and if there are no conflicts between the topic stream and its parent, you can merge the pull request. This merges the contents of the topic stream into its parent stream without using a work area.
If Pulse has been configured to automatically merge pull requests, when the review moves to the Approved state, the pull request is automatically merged into its parent stream. Note that automatic merges can fail.
In Pulse go to Administration | Merge Policies and select the merge policy that has this option: Automatically merge pull requests when approved
The request related to the topic stream is used to merge the changes.
If automatic merges are not enabled you can merge a pull request manually.
Users who can see the Merge Pull Request button are set by the product’s merge policy in Pulse, for example, Author’s and Reviewers. In Pulse go to:
Suites | <suite name> | <CM product> | Settings | Pull Requests
This is not the same as having the privilege to merge, which is controlled by Dimensions CM privileges.
If you do not want the changes in a topic stream merged into the parent, you can close the pull request without merging.
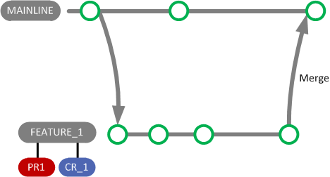
In the example below the topic stream Feature_1 is created from the parent stream Mainline to address request CR_1. This automatically creates pull request PR1 to gather and review the changes made in Feature_1. Changes are delivered into Feature_1 and the pull request is assigned to reviewers. When all reviewers have reviewed and voted to approve the changes, the pull request is automatically merged into its parent stream, Mainline, creating a new changeset in that stream. CR_1 now contains the results of the merge.